Знайди область визначення функції (див.фото). У відповідь запиши кількість цілих від’ємних розв’язків
Приложения:

Ответы
Ответ дал:
0
Объяснение:
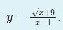
y=√(x+9)/(x-1)
x-1≠0
x≠1
x+9≥0
x≥ -9
x∈[-9;1)⋃(1;+∞)
Вас заинтересует
1 год назад
1 год назад
1 год назад