• Предмет: Математика
  • Автор: itop26top
  • Вопрос задан 2 года назад

Помогите пожалуйста дам 50 балов

Приложения:

Ответы

Ответ дал: sstavridka
1

Ответ:

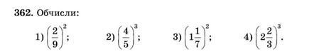
 {( \frac{2}{9} )}^{2}  =  \frac{4}{81}

 {( \frac{4}{5} )}^{3}  =  \frac{ {4}^{3} }{ {5}^{3} }  =  \frac{64}{125}

 {(1 \frac{1}{7} )}^{2}  =  {( \frac{8}{7} )}^{2}  =  \frac{64}{49}  = 1 \frac{15}{49}

 {(2 \frac{2}{3} )}^{3}  =  {( \frac{8}{3} )}^{3}  =  \frac{512}{27}  = 18 \frac{26}{27}


Hgiouy877: Помогите очень срочно, если сможете конечно же!
https://znanija.com/task/53777737
Аноним: Это что?
alice12324: Написать эссе.
Тема: "Каким должен быть современный политический лидер?"
Объем на 1.5 страницу.
Можно как на русском та...
https://znanija.com/task/53778277?utm_source=android&utm_medium=share&utm_campaign=question
alice12324: посмотри этот вопрос
Аноним: Ок
Аноним: Но откуда
Аноним: Привет как дела что делаешь
Вас заинтересует