• Предмет: Алгебра
  • Автор: zefirk79
  • Вопрос задан 2 года назад

❗️ДАЮ 40Б❗️
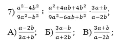
Виконайте дії: на фото ( з рішенням)

Приложения:

Ответы

Ответ дал: olegandrejcenko846
1

Ответ:

Б

 \frac{3a + b}{a - 2b}

Объяснение:

 \frac{a {}^{2} - 4b {}^{2}  }{9a {}^{2}  - b {}^{2}  }  \div  \frac{a {}^{2} + 4ab + 4b {}^{2}  }{9a {}^{2} - 6ab + b {}^{2}  }  \times  \frac{3a + b}{a - 2b}  =  \\  =  \frac{a {}^{2}  - 4b {}^{2} }{9a {}^{2}  - b {}^{2} }  \times  \frac{9a {}^{2}  - 6ab + b {}^{2} }{a {}^{2} + 4ab + 4b {}^{2}  }  \times  \frac{3a + b}{a - 2b}  =  \\  =  \frac{(a - 2b)(a + 2b)(3a - b) {}^{2}(3a + b) }{(3a - b)(3a + b)(a + 2b) {}^{2} (a - 2b)}  =  \\  =  \frac{3a - b}{a + 2b}

Ответ:

 \frac{3a - b}{a + 2b}

Вас заинтересует