• Предмет: Геометрия
  • Автор: ruslanus147
  • Вопрос задан 2 года назад

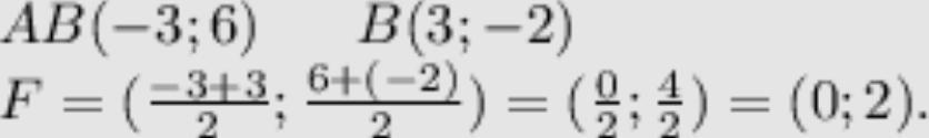
Знайдіть кординати середини відрізка АВ якщо А(-3.6) В(3.-2)
Срочнооооооо

Ответы

Ответ дал: Аноним
0

Відповідь:

Пояснення:

Приложения:
Вас заинтересует