Провідник, по якому проходить струм, сила якого 10 А, розташований у магнітному полі. На провідник з боку магнітного поля діє сила струму 30 мН.
Довжина активної частини провідника 4 см. Поле і струм взаємно перпендикулярні. Визначити індукцію магнітного поля.
ПОМОГИТЕЕЕЕ
Ответы
Ответ дал:
1
Ответ:
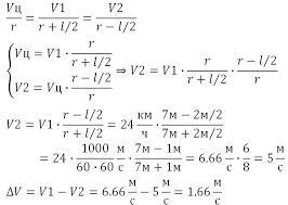
Вот ета формула по ней подставляеш свои значения
Объяснение:
Приложения:

kittywef:
вы могли бы подставить? пожалуйста, я ничего не понимаю
Вас заинтересует
1 год назад
1 год назад
1 год назад
1 год назад
2 года назад
8 лет назад