• Предмет: Алгебра
  • Автор: fctdgsygfdhngfxzgsac
  • Вопрос задан 1 год назад

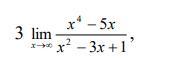
Знайти границю послідовності.

Приложения:

Ответы

Ответ дал: 7x8
1

Ответ:

\displaystyle +\infty

Объяснение:

\displaystyle \lim_{x\to \infty}\frac{x^4-5x}{x^2-3x+1}=\\\\\lim_{x\to \infty}\frac{x^4(\frac{x^4}{x^4}-\frac{5x}{x^4})}{x^2(\frac{x^2}{x^2}-\frac{3x}{x^2}+\frac{1}{x^2})}=\\\\\lim_{x\to \infty} \frac{x^2(1-\frac{5}{x^3})}{1-\frac{3}{x}+\frac{1}{x^2}}=\\\\\lim_{x\to \infty} \frac{x^2}{1}=+\infty


fctdgsygfdhngfxzgsac: дуже дякую :D
Вас заинтересует