• Предмет: Математика
  • Автор: mawscherep
  • Вопрос задан 1 год назад

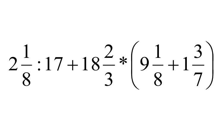
Поогитеееееее подалуйстаааааааааааа

Приложения:

Ответы

Ответ дал: roman1072007
2

Ответ:

Ответ на фото

Пошаговое объяснение:

Приложения:

mawscherep: Спасибо!
Вас заинтересует