• Предмет: Алгебра
  • Автор: fctdgsygfdhngfxzgsac
  • Вопрос задан 2 года назад

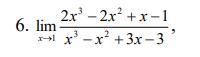
Знайти границі послідовності.

Приложения:

Ответы

Ответ дал: 7x8
1

Ответ:

\displaystyle \frac{3}{4}

Объяснение:

\displaystyle \lim_{x\to 1 } \frac{2x^3-2x^2+x-1}{x^3-x^2+3x-3}=\lim_{x\to 1 } \frac{2x^2(x-1)+(x-1)}{x^2(x-1)+3(x-1)}=\\\\\lim_{x\to 1 } \frac{(x-1)(2x^2+1)}{(x-1)(x^2+3)}=\lim_{x\to 1 } \frac{2x^2+1}{x^2+3}=\\\\\frac{2\cdot 1^2+1}{1^2+3}=\frac{2\cdot 1+1}{1+3}=\frac{2+1}{4}=\frac{3}{4}


fctdgsygfdhngfxzgsac: дуже дякую)
Вас заинтересует