Ответы
Ответ дал:
1
Ответ:
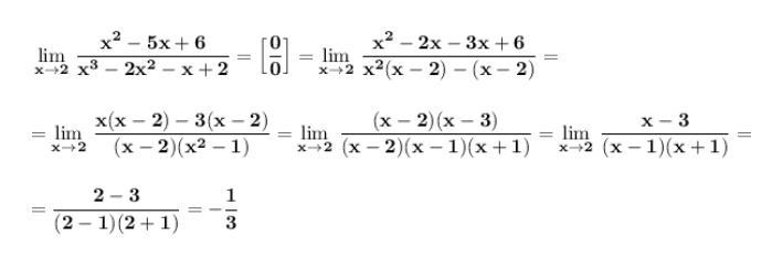
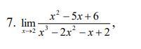
При раскрытии неопределённости типа 0/0 раскладываем на множители многочлены .
Приложения:

fctdgsygfdhngfxzgsac:
спасибо большое)) у меня в профиле еще несколько заданий по границам есть, прошу помогите
Вас заинтересует
1 год назад
1 год назад
1 год назад
2 года назад
8 лет назад
8 лет назад