Ответы
Ответ дал:
0
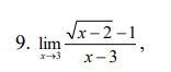
Ответ:
1/2
Объяснение:
за формулою скороченого множення а²-в²=(а-в)(а+в)
Приложения:

Вас заинтересует
1 год назад
1 год назад
1 год назад
2 года назад
2 года назад
8 лет назад
8 лет назад