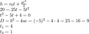
Тіло кинули Вертикально вгору з початковою швидкістю 25 м/с. Через скільки секунд тіло буде на висоті 20 м? Відповідь поясніть. Дано на фото
Приложения:

Ответы
Ответ дал:
1
Ответ:
4с и 1с
Объяснение:
Приложения:

Вас заинтересует
1 год назад
1 год назад
1 год назад
2 года назад
2 года назад
8 лет назад