Найти большую сторону треугольника, если одна сторона равна 30см, а две другие относятся как 3√2: 7 и образуют угол 45°.
Ответы
Ответ дал:
1
Ответ:
Большая сторона треугольника равна 42 см
Объяснение:
Дано:
ΔABC (см. рисунок 1)
c = AB = 30 см
a:b = BC:AC = 3 : 7
∠C = 45°
Найти: max{a; b; c}.
Решение. Известна теорема косинусов:
- Квадрат сторон треугольников равен сумме квадратов двух других сторон минус удвоенное произведение этих сторон на косинус угла между ними.
По теореме косинусов получим:
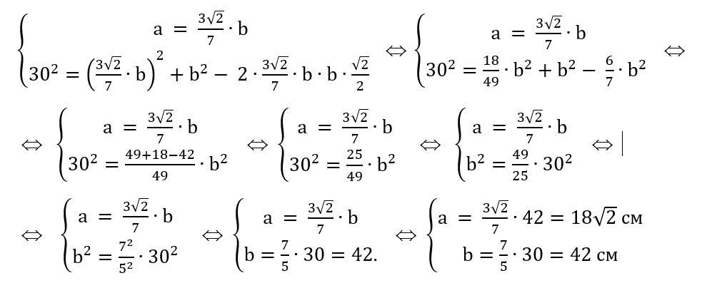
Объединив условие задачи и последнее равенство получим систему уравнений:
Учитывая, что a и b стороны треугольника, то есть a>0 и b>0, решим систему уравнений (см. рисунок 2).
Так как
42 > 30 и 42 > 18,
то ответом будет 42 см.
#SPJ1
Приложения:


Вас заинтересует
1 год назад
1 год назад
1 год назад
1 год назад
2 года назад
2 года назад
8 лет назад