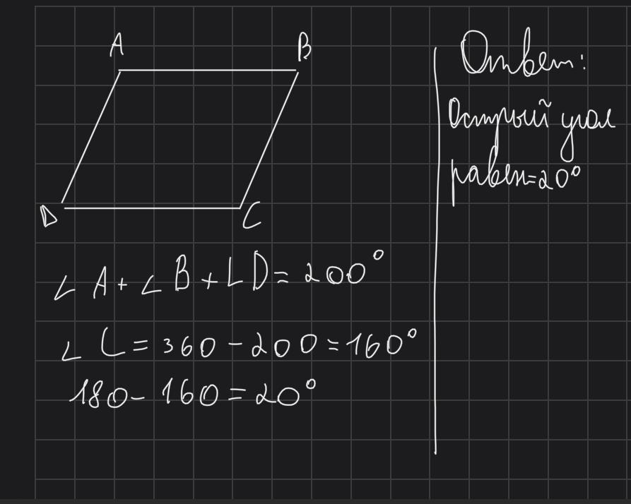
Сума градусних мір трьох кутів паралелограма дорівнює 200°.Знайдіть величину гострого кута цього паралелограма
Ответы
Ответ дал:
0
ответ на фото, если что
Приложения:

AIZkazakh:
можно как лучший отметить?
Вас заинтересует
1 год назад
1 год назад
2 года назад
8 лет назад