• Предмет: Алгебра
  • Автор: fctdgsygfdhngfxzgsac
  • Вопрос задан 2 года назад

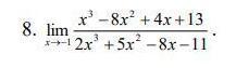
Знайти границі послідовності.

Приложения:

Ответы

Ответ дал: pushpull
1

Ответ:

\displaystyle \boldsymbol{-\frac{23}{12} }

Объяснение:

Раскладываем числитель и знаменатель на множители.

x³ -8x²+4x+13

Используем теорему Безу

  • Свободный член многочлена делится на любой целый корень многочлена с целыми коэффициентами (если старший коэффициент равен 1, то все рациональные корни являются и целыми)

Так как делитель старшего коэффициента равен 1, рациональные корни многочлена можно искать среди делителей свободного члена:

±1; ±13

Нам подходит корень х₀ = -1

Тогда разложение

x³ -8x²+4x+13 = (х + 1)(x² -9x+13)

Аналогично знаменатель.

2x³ + 5x² - 8x -11 = (x+1)(2x² + 3x -11)

Теперь считаем предел

\displaystyle  \lim_{x \to -1}\frac{x^3-8x^2+4x+13}{2x^3+5x^2-8x-11} = \lim_{x \to -1}\frac{(x+1)(x^2-9x+13)}{(x+1)(2x^2+3x-11)} =\\\\\\\\=\lim_{x \to -1}\frac{x^2-9x+13}{2x^2+3x-11} =\lim_{x \to -1}\frac{(-1)^2-9*(-1)+13}{2*(-1)^2+3*(-1)-11} =-\frac{23}{12}


fctdgsygfdhngfxzgsac: спасибо большое)
masha01021: здравствуйте, помогите пожалуйста решить тоже предел
Ответ дал: 7x8
1

Ответ:

\displaystyle -\frac{23}{12}

Объяснение:

\displaystyle \lim_{x\to-1 } \frac{x^3-8x^2+4x+13}{2x^3+5x^2-8x-11}=\\\\\ \lim_{x\to-1 }\frac{x^3+x^2-9x^2+43x+13}{2x^3+2x^2+3x^2-8x-11}=\\\\\ \lim_{x\to-1 }\frac{x^2(x+1)-9x^2+4x+13}{2x^2(x+1)+3x^2-8x-11}=

\displaystyle\lim_{x\to-1 }\frac{x^2(x+1)-9x^2-9x+13x+13}{2x^2(x+1)+3x^2+3x-11x-11}=\\\\\ \lim_{x\to-1 }\frac{x^2(x+1)-9x(x+1))+13(x+1)}{2x^2(x+1)+3x(x+1)-11(x+1)}=\\\\\ \lim_{x\to-1 }\frac{(x+1)(x^2-9x+13)}{(x+1)(2x^2+3x-11)}=\\\\\ \lim_{x\to-1 }\frac{x^2-9x+13}{2x^2+3x-11}=\\\\\frac{(-1)^2-9\cdot(-1)+13}{2\cdot(-1)^2+3\cdot(-1)-11}=\frac{1+9+13}{2\cdot 1-3-11}=\frac{23}{-12}=-\frac{23}{12}


fctdgsygfdhngfxzgsac: спасибо большое)
Вас заинтересует