• Предмет: Алгебра
  • Автор: qouallol
  • Вопрос задан 2 года назад

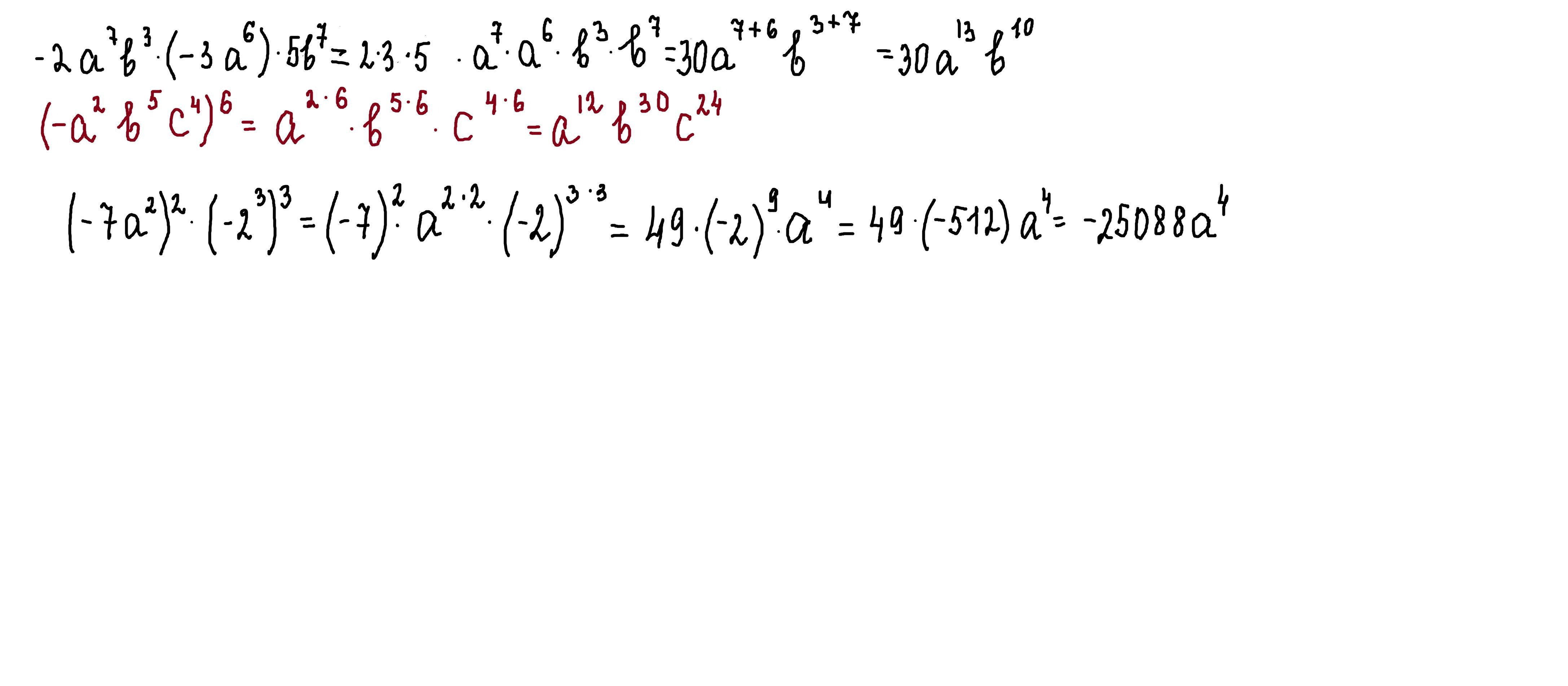
2. Перетвори вираз на одночлен стандартного вигляду. а) -2а⁷б³ • (-3а⁶) • 5б⁷.
Б) (-а²б⁵с⁴)⁶
В) (-7а²)² • (-2³)³

Ответы

Ответ дал: parus77
1

Ответ:

Объяснение:

решение внизу

Приложения:

qouallol: Велике Дякую!
olgademchuk100: Дякую!
qouallol: Дякую!
Вас заинтересует