• Предмет: Математика
  • Автор: erikakravtsova0
  • Вопрос задан 2 года назад

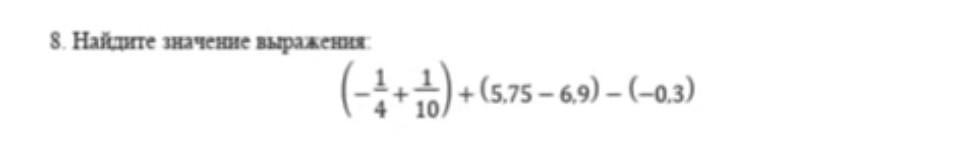
помогите пожалуйста ​

Приложения:

Ответы

Ответ дал: ludmilaksenija2005
1

Пошаговое объяснение:

(-1/4+1/10)+(5,75-6,9)-(-0,3)=

=(-0,25+0,1)+(-1,15)+0,3=

= -0,15-1,15+0,3= -1,3+0,3= -1

Вас заинтересует