СРОЧНООО!! 100 БАЛЛОВ!! ЛЕГКОЕ ЗАДАНИЕ!!! ЧЕРЕЗ ЧАС СДАВАТЬ НАДО!!! ОТВЕТЬТЕ ПОЖАЛУЙСТА!!!!! СРОЧНОООО!!!!
Обчисліть:
Приложения:

Ответы
Ответ дал:
0
Ответ:
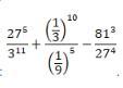
на фото
Объяснение:
Приложения:

something11:
Постарался на славу!
Вас заинтересует
1 год назад
1 год назад
1 год назад
2 года назад