• Предмет: Алгебра
  • Автор: torikovrostik
  • Вопрос задан 2 года назад

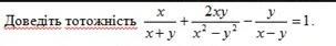
Допоможіть будь ласка

Приложения:

Ответы

Ответ дал: grigorijgosko38
0

Ответ:

︎︎︎︎︎︎︎︎︎︎︎︎тотожність доведена ︎︎︎︎︎

Объяснение:

︎︎︎︎︎

Приложения:

Аноним: помогите с вопросом
Вас заинтересует