• Предмет: Алгебра
  • Автор: vearrey
  • Вопрос задан 1 год назад

Знайти значення виразів:

Приложения:

Ответы

Ответ дал: sak456990
1

Здравствуйте! Решение ниже, остались вопросы — пишите, буду рад ответить.

Решение:

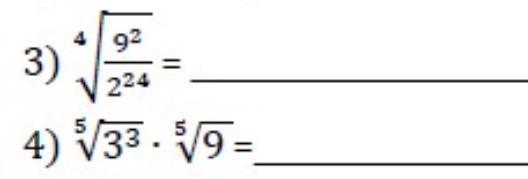
Задание №3

Будем пользоваться свойствами степеней, для решения данных выражений:

\sqrt[4]{\frac{9^{2} }{2^{24} } } =\sqrt[4]{\frac{(3^{2})^{2} }{2^{24} } } =\sqrt[4]{\frac{3^{4} }{2^{24} } }=\sqrt[4/4]{\frac{3^{4/4} }{2^{24/4} } } = \frac{3}{2^{6} }=\frac{3}{64}

Ответ: \frac{3}{64}

Задание №3

Будем пользоваться свойствами степеней, для решения данных выражений:

\sqrt[5]{3^{3} }*\sqrt[5]{9}=\sqrt[5]{3^{3} }*\sqrt[5]{3^{2} }=\sqrt[5]{3^{3}*3^{2}  } =\sqrt[5]{3^{5} }= \sqrt[5/5]{3^{5/5} }=3

Ответ: 3

Вас заинтересует