• Предмет: Алгебра
  • Автор: vearrey
  • Вопрос задан 2 года назад

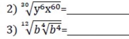
Спростіть вирази 2 і 3:

Приложения:

Ответы

Ответ дал: Pawlo1234
0

2)

 {x}^{2}  \sqrt[5]{y}

3)

 \sqrt{b}

Вас заинтересует