• Предмет: Алгебра
  • Автор: deri62
  • Вопрос задан 2 года назад

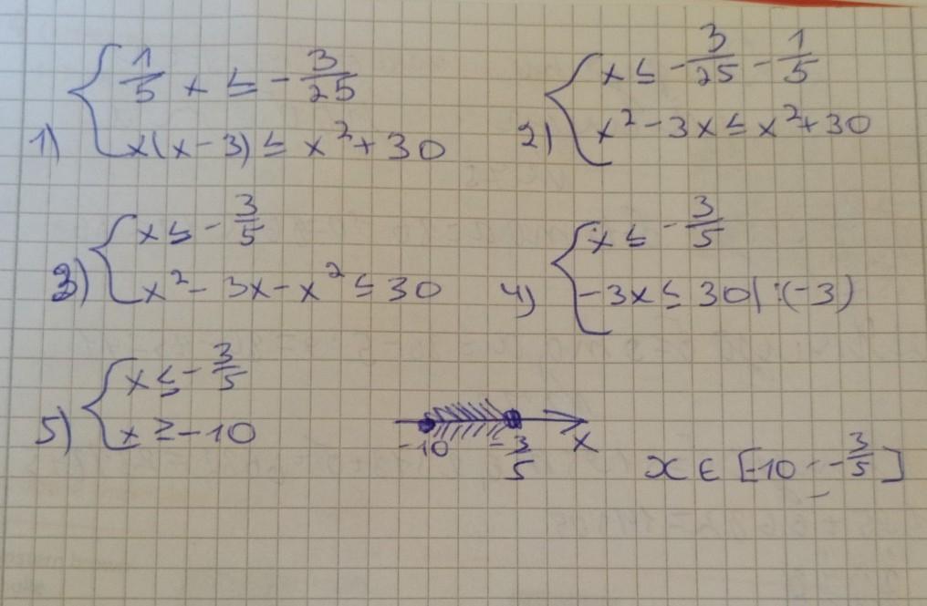
251. Скільки цілих розвязків має система нерівностей
Даю 50 балів

Приложения:

Ответы

Ответ дал: milsroo
0

Объяснение:

цілі розв'язки:-10, -9, -8, -7, -6, -5, -4, -3, -2, -1, і 0.

Система має 12 цілих розв'язків.

Приложения:
Вас заинтересует