• Предмет: Алгебра
  • Автор: shurik123456
  • Вопрос задан 2 года назад

СРОЧНО!!!ДАМ 15 БАЛЛОВ!!!

Приложения:

Ответы

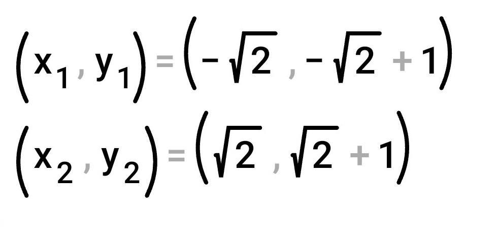
Ответ дал: dimas21voitko
0

Объяснение:

Есле нада розвязки в інсту voitko14

Приложения:
Вас заинтересует