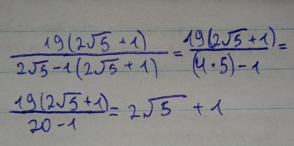
Освободитесь от иррациональности в знаменателе дроби: 12 балла найлите радиус окрок 19
2√5-1
Приложения:

Ответы
Ответ дал:
0
Объяснение:
Приложения:

Ответ дал:
0
Объяснение:
думая так или незная
Приложения:

Вас заинтересует
1 год назад
1 год назад
1 год назад
1 год назад
2 года назад
2 года назад
8 лет назад
8 лет назад