• Предмет: Алгебра
  • Автор: bekmuratzhanel10
  • Вопрос задан 2 года назад

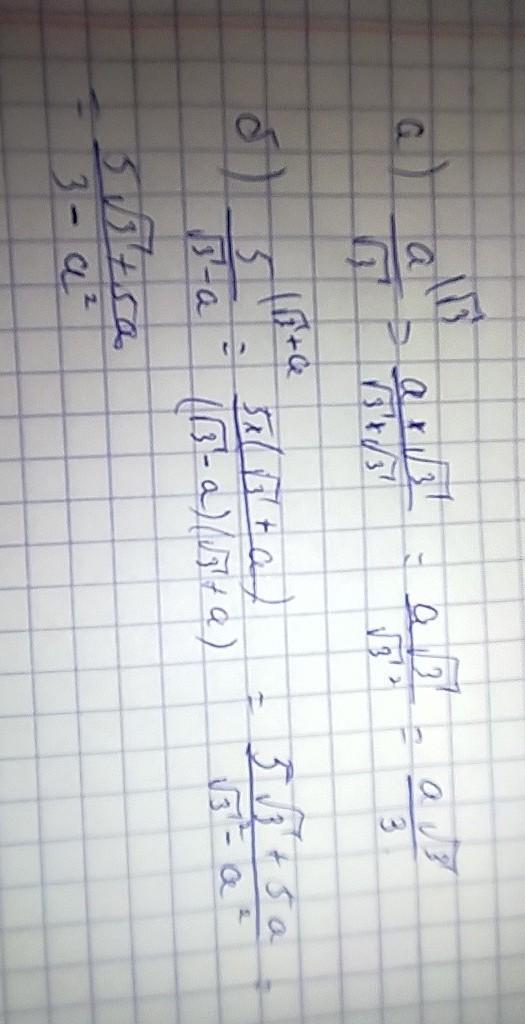
Освободиться от ирроциональности в знаминатели дроби, пожалуйста а и б

Приложения:

Ответы

Ответ дал: sekretik36
1

Ответ:

а)

 \frac{a\sqrt{3} }{ 3}

б)

 \frac{5 \sqrt{3} + 5a }{3 -  {a}^{2} }

Объяснение:

прошу прощение за качество

Приложения:
Вас заинтересует