Ответы
Ответ дал:
0
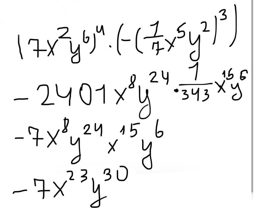
Ответ:
на фото
Объяснение:
Приложения:


Вас заинтересует
1 год назад
1 год назад
1 год назад
2 года назад
8 лет назад