• Предмет: Математика
  • Автор: drabovskaau
  • Вопрос задан 2 года назад

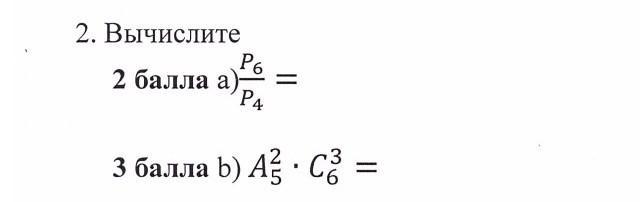
2. Вычислите
Я НЕПОНИМАЮ​

Приложения:

Ответы

Ответ дал: mardanablay
0

Ответ:

Первый ответ. P= 30

Второй ответ A= 60 C=120 60•120=7200


mardanablay: Щас
drabovskaau: ты хороший человек
mardanablay: P6/P4.4•5•6/4 5•6/1 =30
mardanablay: A5.2 C6.3. 2•3•4•5/2 3•4•5/1 =60. C 3•4•5•6/3 4•5•6/1 =120. 60•120=7200
mardanablay: Все
drabovskaau: спасибо
mardanablay: Тут понятно
drabovskaau: хорошего дня лучший человек !
drabovskaau: вечера
mardanablay: Спасибо, Рахмет
Вас заинтересует