• Предмет: Математика
  • Автор: lalalololqsx
  • Вопрос задан 1 год назад

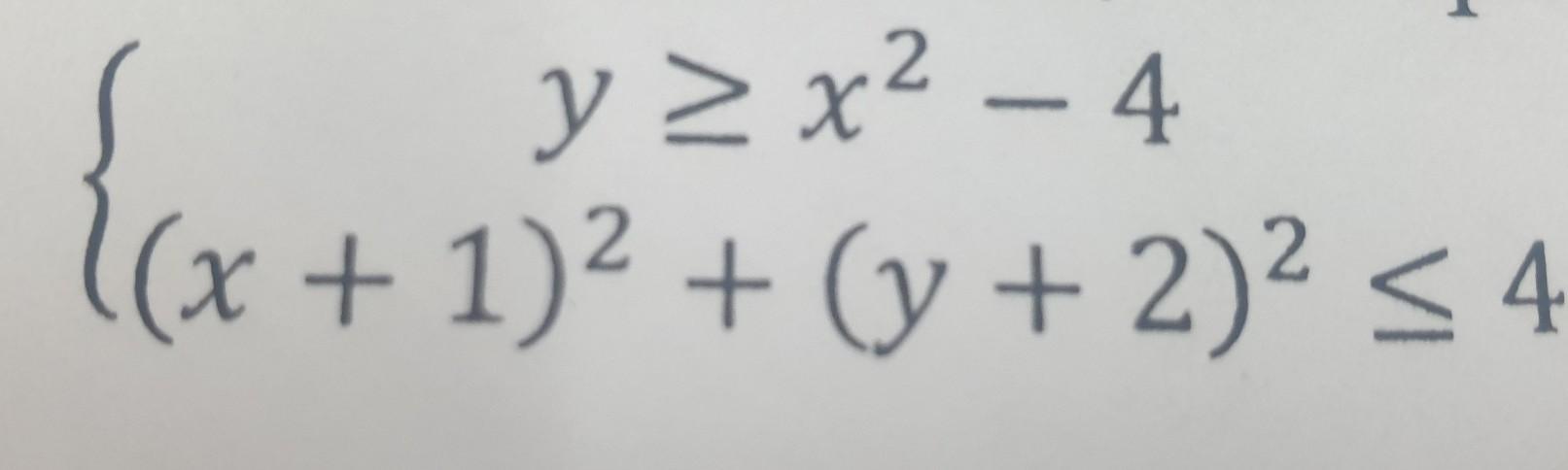
Найдите множество точек координатной плоскости, которое задано системой неравенств:​

Приложения:

Ответы

Ответ дал: Simba2017
1

область. где двойная штриховка-включая границы

Приложения:
Вас заинтересует