• Предмет: Математика
  • Автор: Aleks99398
  • Вопрос задан 2 года назад

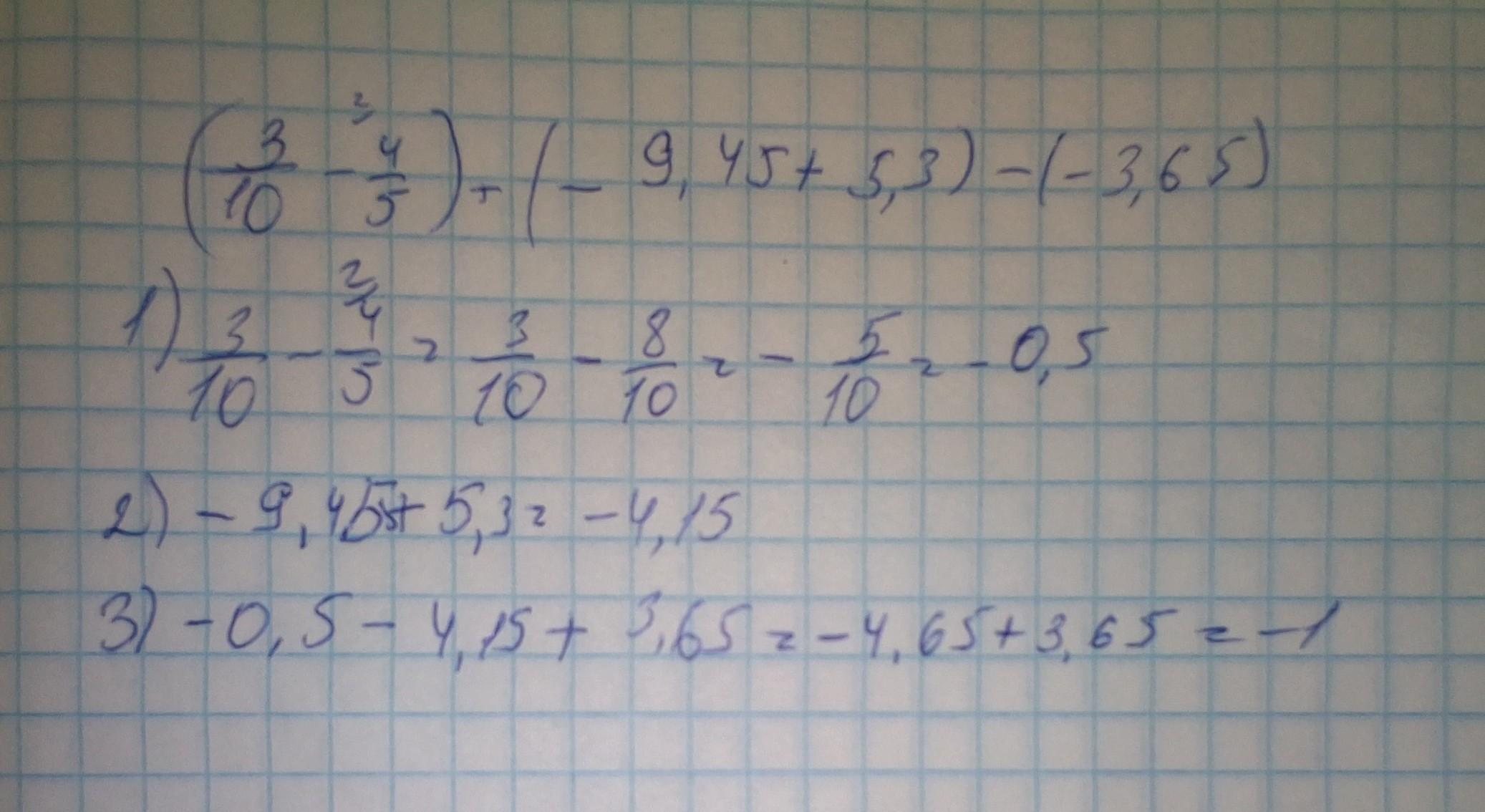
(3/10 - 4/5) + (- 9, 45 + 5, 3) - (- 3, 65) РЕШИТ ПЖ НОРМАЛЬНО ДАМ 20 бал

Ответы

Ответ дал: panda2432
0

Ответ:

вот это ответ по действиям

Приложения:
Ответ дал: Dmitry1986
1

Вложение фото. Ваш ответ.

Приложения:
Вас заинтересует