• Предмет: Алгебра
  • Автор: n40958001
  • Вопрос задан 1 год назад

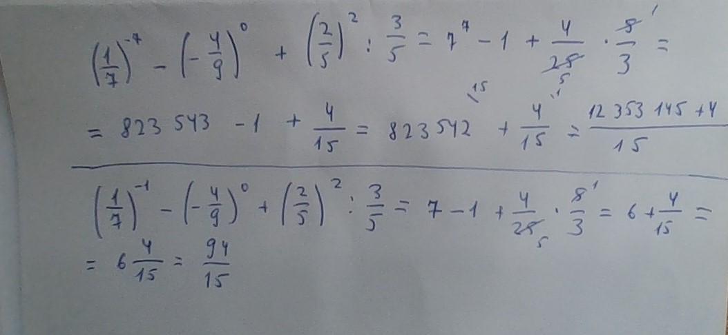
Вычислите:(1/7)-⁷-(-4/9)⁰+(2/5)²: 3/5
срочно!!! ​


gog41586: Возле (1/7) степень -7 или -1 ???

Ответы

Ответ дал: gog41586
0

Ответ: на фото

Уточните показатель степени возле числа 1/7

Приложения:
Вас заинтересует