• Предмет: Математика
  • Автор: ltab32930
  • Вопрос задан 1 год назад

помогите пожалуйста ​

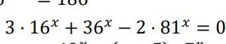
Приложения:

Ответы

Ответ дал: makuzaeva
0

Ответ:

3×16x+36x-2×81x,y=0.

Вас заинтересует