• Предмет: Алгебра
  • Автор: minichvika2010
  • Вопрос задан 1 год назад

паже помощььььььььььььььььььььььь

Приложения:

Ответы

Ответ дал: gog41586
1

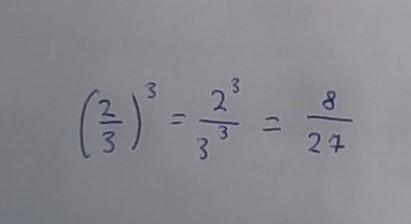
Відповідь: на фото

Пояснення: для того, щоб піднести звичайний дріб до степеня, необхідно його чисельник і знаменник окремо піднести до даного степеня.

Приложения:
Вас заинтересует