• Предмет: Алгебра
  • Автор: minichvika2010
  • Вопрос задан 1 год назад

помогите пажешкааааааааа

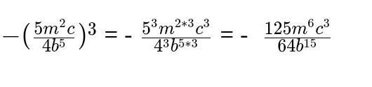
Приложения:

Аноним: скину розв‘язок в інст @mathematic_89

Ответы

Ответ дал: rizagul537
0

Объяснение:

если не правильно тогда сори

Приложения:
Вас заинтересует