• Предмет: Алгебра
  • Автор: k04692798
  • Вопрос задан 1 год назад

помогите пожалуйста 25-(4x+8)= 1​

Ответы

Ответ дал: fedorsirenko777
1

Ответ:

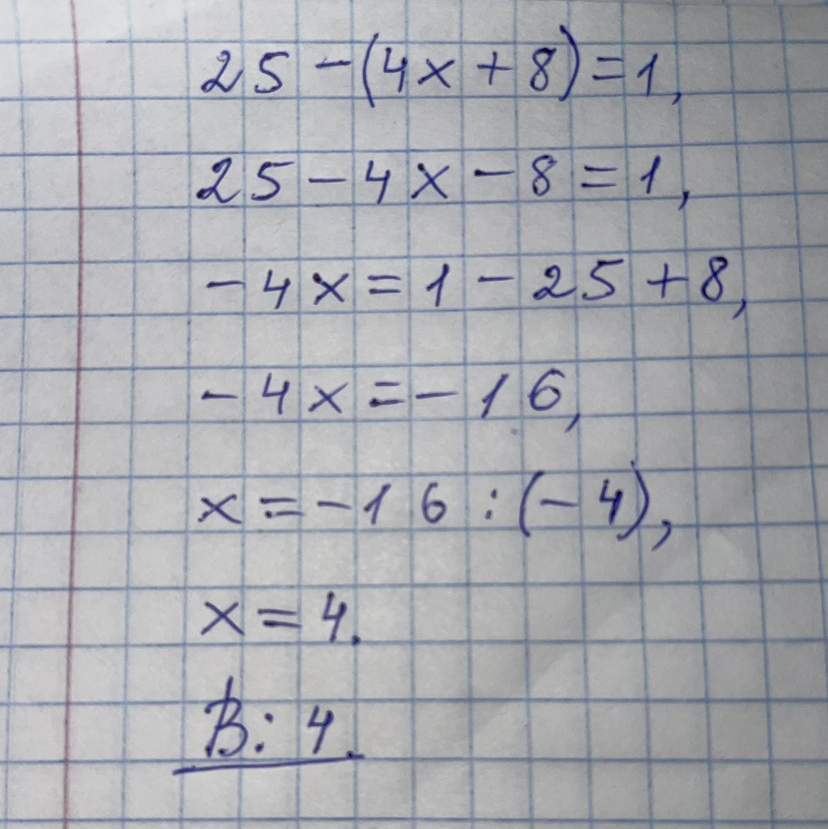
25 - (4x + 8) = 1

Сначала нужно упростить уравнение, перенеся все члены в одну сторону:

25 - 4x - 8 = 1

-4x = 1 - 25 + 8

Затем нужно посчитать разницу в скобках:

-4x = -16

Теперь нужно поделить обе части уравнения на -4, чтобы найти x:

x = -16 / (-4)

x = 4

Ответ: x = 4.


k04692798: спасибо большое
Ответ дал: MargaritaAkopian
1

Відповідь: х=4.
⚡️⚡️⚡️
Приложения:
Вас заинтересует