• Предмет: Алгебра
  • Автор: g0029301
  • Вопрос задан 1 год назад

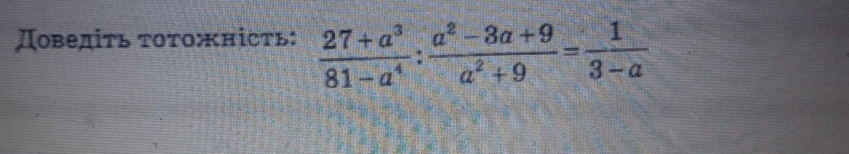
очень срочно доведити тотожнисьть​

Приложения:

Ответы

Ответ дал: anastasiaupasevskaa8
0
Щоб довести тотожність:тотожно перетворюють одну із частин даної рівності, отримуючи іншу частину;тотожно перетворюють кожну із частин даної рівності, отримуючи один і той самий вираз;показують, що різниця лівої і правої частин даної рівності тотожно дорівнює нулю.
Вас заинтересует