• Предмет: Алгебра
  • Автор: fctdgsygfdhngfxzgsac
  • Вопрос задан 2 года назад

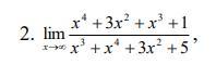
Знайти границі послідовності.

Приложения:

Ответы

Ответ дал: 7x8
1

Ответ:

\displaystyle 1

Объяснение:

\displaystyle  \lim_{x\to \infty}\frac{x^4+3x^2+x^3+1}{x^3+x^4+3x^2+5}=\lim_{x\to \infty}\frac{\frac{x^4}{x^4}+\frac{3x^2}{x^4}+\frac{x^3}{x^4}+\frac{1}{x^4}}{\frac{x^3}{x^4}+\frac{x^4}{x^4}+\frac{3x^2}{x^4}+\frac{5}{x^4}}=\\\\\lim_{x\to \infty}\frac{1+\frac{3}{x^2}+\frac{1}{x}+\frac{1}{x^4}}{\frac{1}{x}+1+\frac{3}{x^2}+\frac{5}{x^4}}=\frac{1}{1}=1


fctdgsygfdhngfxzgsac: дуже дякую)
Вас заинтересует