• Предмет: Алгебра
  • Автор: fctdgsygfdhngfxzgsac
  • Вопрос задан 1 год назад

Знайти границі послідовності.

Приложения:

Ответы

Ответ дал: 7x8
1

Ответ:

\displaystyle\frac{1}{8}

Объяснение:

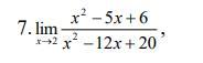
\displaystyle \lim_{x\to 2}\frac{x^2-5x+6}{x^2-12x+20}=\lim_{x\to 2}\frac{x^2-2x-3x+6}{x^2-2x-10x+20}=\lim_{x\to 2}\frac{x(x-2)-3(x-2)}{x(x-2)-10(x-2)}=\\\\\\\lim_{x\to 2}\frac{(x-2)(x-3)}{(x-2)(x-10)}=\lim_{x\to 2}\frac{x-3}{x-10}=\frac{2-3}{2-10}=\frac{-1}{-8}=\frac{1}{8}


fctdgsygfdhngfxzgsac: дуже дякую)
Вас заинтересует