• Предмет: Алгебра
  • Автор: fctdgsygfdhngfxzgsac
  • Вопрос задан 1 год назад

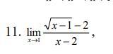
Знайти границі послідовності.

Приложения:

Ответы

Ответ дал: 7x8
1

Ответ:

\displaystyle 2

Объяснение:

\displaystyle \lim_{x\to 1}\frac{\sqrt{x-1}-2}{x-2}=\frac{\sqrt{1-1}-2}{1-2}=\frac{\sqrt{0}-2}{-1}=\frac{-2}{-1}=2


fctdgsygfdhngfxzgsac: дуже дякую)
Вас заинтересует