• Предмет: Алгебра
  • Автор: frognatalka02
  • Вопрос задан 1 год назад

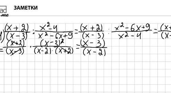
Виконайте ділення: 1) (x + 2)/(x - 3) / ((x ^ 2 - 4)/(x ^ 2 - 6x + 9)) 2) (b + 5)/(b + 2) / ((b ^ 2 - 25)/(b ^ 2 + 4a + 4))

Надішліть фото тут будь ласка

Приложения:

Ответы

Ответ дал: dashamnn
1

Объяснение:

там где обрезано (х+2)/(х-3)

Приложения:

dashamnn: извини что только первое
frognatalka02: ничего)
Вас заинтересует