• Предмет: Алгебра
  • Автор: anzelikabinkovskaw
  • Вопрос задан 1 год назад

Допоможіть будь ласка ​

Приложения:

Ответы

Ответ дал: karina7342
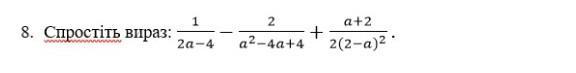
1

/-это типо дробная черта
=1/2(а-2). -2/(а-2)2. +а+2/2(-(а-2))2=
1/2(а-2). -2/(а-2)2. +а+2/2(а-2)= а-2-4+а+2/2(а-2)2= 2а-4/2(а-2)а=2(а-2)/2(а-2)2= 1/а-2
Вас заинтересует