• Предмет: Алгебра
  • Автор: zhanelka80
  • Вопрос задан 2 года назад

СРОЧНО НУЖНО
Решите систему уравнений:

Приложения:

Ответы

Ответ дал: sofiaterehova697
1
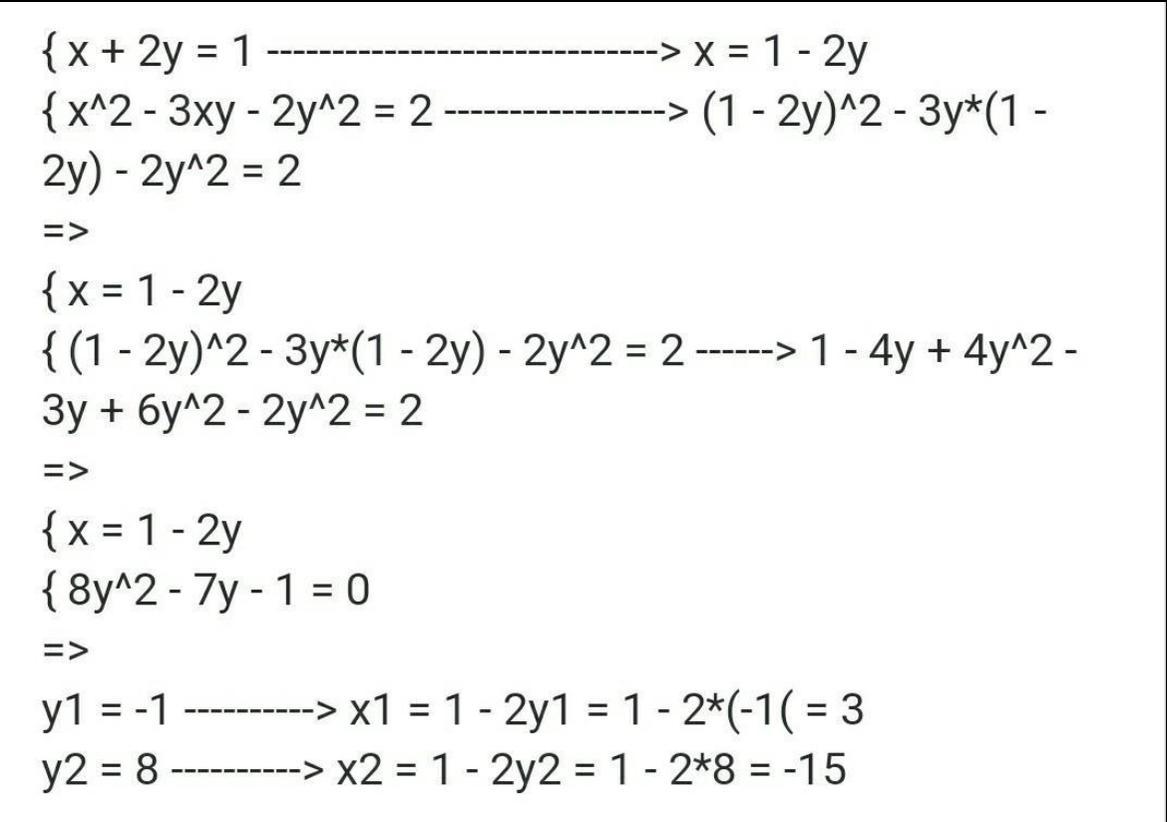
Вот ответ на фото, вроде бы тут все понятно. Если не понятно я извиняюсь
Приложения:
Вас заинтересует