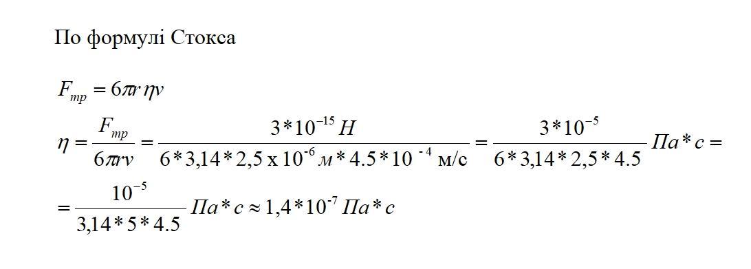
Сила вязкого трения на каплю масла равна 3,0 х 10-15 Н, когда она падает со скоростью 4.5 * 10 - 4 м/с. Если диаметр капли составляет 5,0 х 10-6 м, какова вязкость воздуха?
Ответы
Ответ дал:
3
Відповідь:
Пояснення:
Приложения:

Вас заинтересует
1 год назад
1 год назад
1 год назад
1 год назад
2 года назад
2 года назад
8 лет назад
особенно сила - минус 15 степень