• Предмет: Математика
  • Автор: skorikda056
  • Вопрос задан 1 год назад

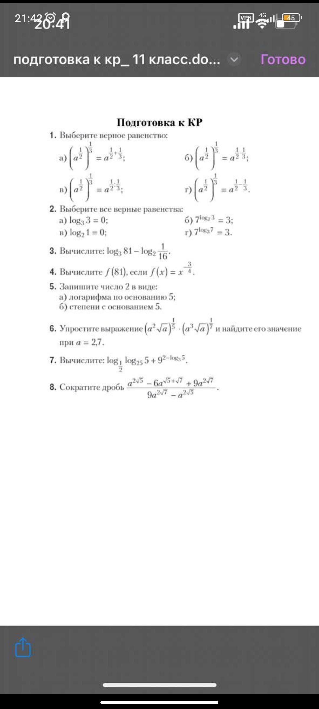
помогите решить 8 задание

Приложения:

Ответы

Ответ дал: natalyabryukhova
2

Ответ:

\displaystyle \bf     \frac{a^{2\sqrt{5} }-6a^{\sqrt{5}+\sqrt{7}  }+9a^{2\sqrt{7} }}{9a^{2\sqrt{7} }-a^{2\sqrt{5} }}=  \frac{3a^{\sqrt{7} }-a^{\sqrt{5} }}{3a^{\sqrt{7} }+a^{\sqrt{5} }}

Пошаговое объяснение:

Сократить дробь:

\displaystyle \bf     \frac{a^{2\sqrt{5} }-6a^{\sqrt{5}+\sqrt{7}  }+9a^{2\sqrt{7} }}{9a^{2\sqrt{7} }-a^{2\sqrt{5} }}

  • Свойства степеней:

      хᵃ·хᵇ = хᵃ⁺ᵇ

       (хᵃ)ᵇ = хᵃᵇ

Используя эти свойства, получим дробь:

\displaystyle     \frac{(a^{\sqrt{5} })^2-6a^{\sqrt{5}} \cdot a^{\sqrt{7}  }+(3a^{\sqrt{7} })^2}{(3a^{\sqrt{7} })^2-(a^{\sqrt{5} })^2}=

  • Используем формулы сокращенного умножения:

         (a - b)² = a² - 2ab + b²

          a² - b² = (a - b)(a + b)

\displaystyle    = \frac{(a^{\sqrt{5} }-3a^{\sqrt{7} })^2}{(3a^{\sqrt{7} }-a^{\sqrt{5} })(3a^{\sqrt{7} }+a^{\sqrt{5} })}= \frac{(3a^{\sqrt{7} }-a^{\sqrt{5} })^2}{(3a^{\sqrt{7} }-a^{\sqrt{5} })(3a^{\sqrt{7} }+a^{\sqrt{5} })}=\\\\\\= \frac{(3a^{\sqrt{7} }-a^{\sqrt{5} })}{(3a^{\sqrt{7} }+a^{\sqrt{5} })}

#SPJ1


fctdgsygfdhngfxzgsac: natalyabryukhova, здравствуйте! можете помочь пожалуйста?
https://znanija.com/task/53869814
Вас заинтересует