• Предмет: Алгебра
  • Автор: Аноним
  • Вопрос задан 1 год назад

СРОЧНО ПРОШУ! У МЕНЯ ОСТАЛОСЬ 2 ЧАСА!

Приложения:

Ответы

Ответ дал: bogdanlevkovich6
1

Ответ:

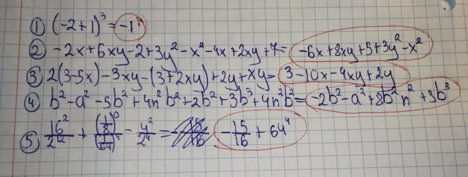
ответы обведены красным, 6 задания, такого не учила, не могу помочь(. но надеюсь те вопросы будут правильные)))

Приложения:

Аноним: Спасибо)
Вас заинтересует