• Предмет: Алгебра
  • Автор: zyma7753191
  • Вопрос задан 1 год назад

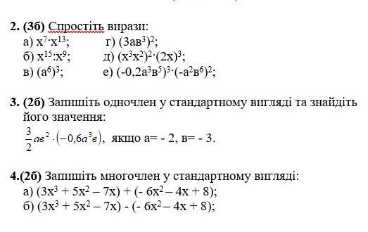
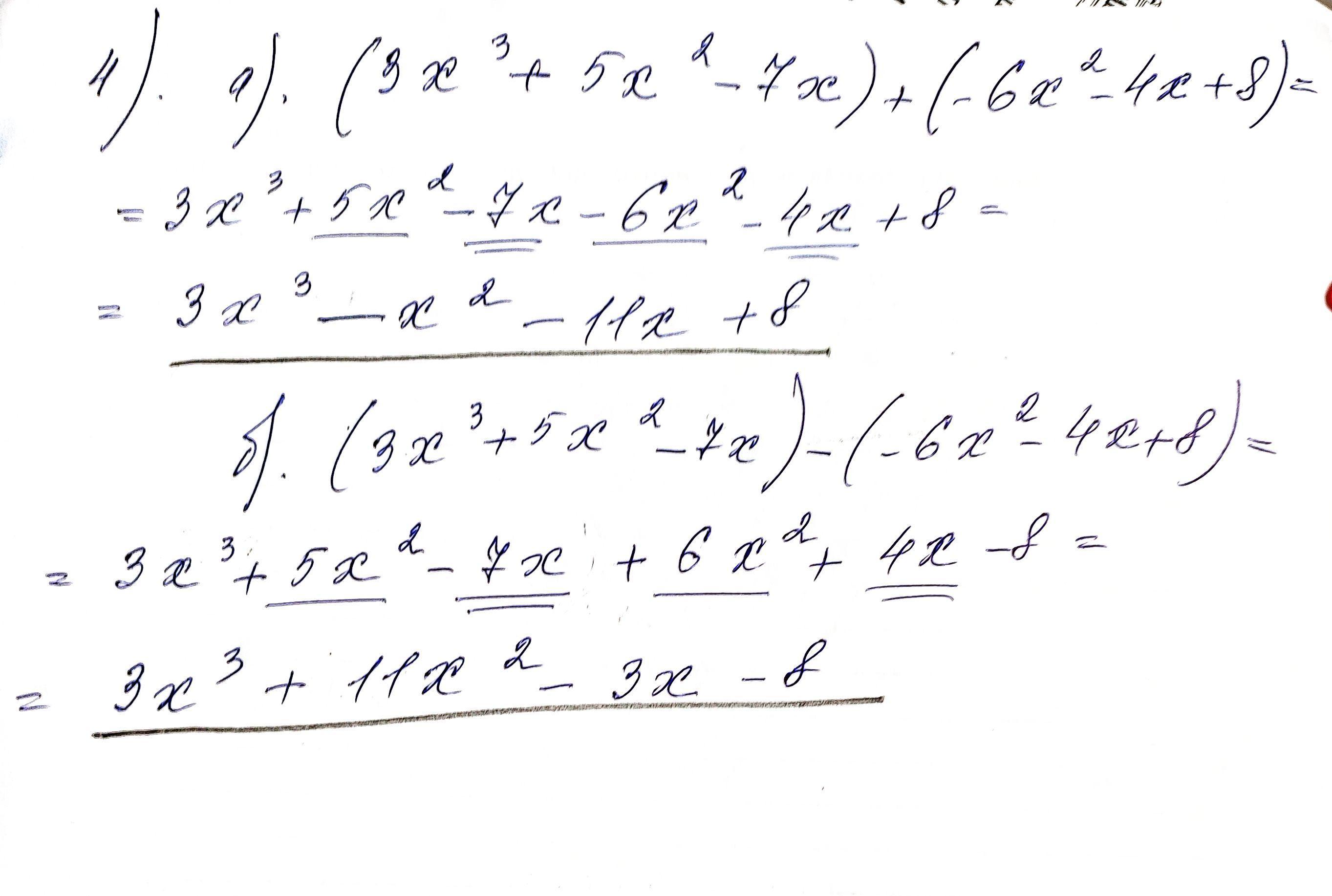
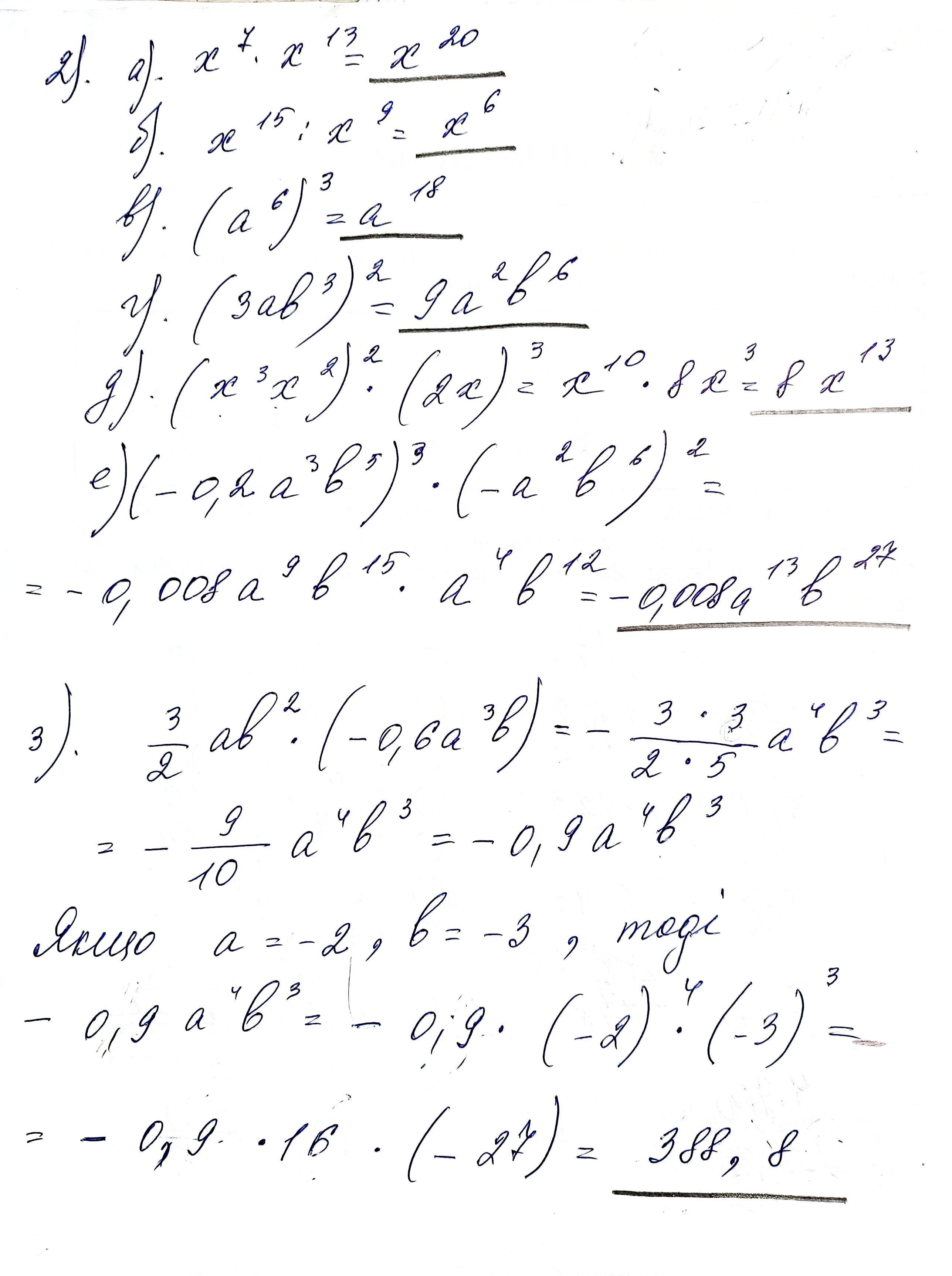
Алгебла контрольна допаможіть будьласочка

Приложения:

Ответы

Ответ дал: dimasprykhodko2332
0

Відповідь:

Дивись розв' язання на фото.

Пояснення:

Трохи сумніваюсь в завданні 3

Приложения:
Вас заинтересует