• Предмет: Математика
  • Автор: igorgame142
  • Вопрос задан 1 год назад

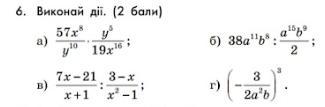
виконай дії даю 100 балів

Приложения:

Ответы

Ответ дал: siafnv
1
тримай,тут все правильно
Приложения:
Вас заинтересует