Ответы
Ответ дал:
1
Ответ:
вроде бы так
Объяснение:
Надеюсб помогла
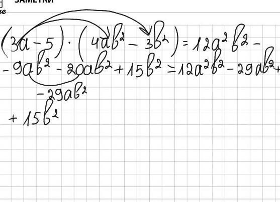
Приложения:

Ответ дал:
1
Ответ:
Объяснение:
Пометь как лучший, если помог
Вас заинтересует
1 год назад
1 год назад
1 год назад
1 год назад
2 года назад
2 года назад
8 лет назад
8 лет назад