• Предмет: Алгебра
  • Автор: iiiof
  • Вопрос задан 1 год назад

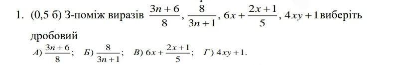
помогите, очень надо​

Приложения:

Ответы

Ответ дал: levkozmovich
0

Відповідь:

а

Пояснення:

Вас заинтересует