• Предмет: Алгебра
  • Автор: qwer00011
  • Вопрос задан 2 года назад

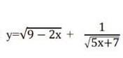
8. Знайдіть область визначення функції: ​

Приложения:

Ответы

Ответ дал: rito93
1

Ответ:

х є (-7/5 ; 9/2]

Объяснение:

9-2х≥0. 2х≤9. х≤9/2

5х+7>0. 5х>-7. х>-7/5

Вас заинтересует