• Предмет: Математика
  • Автор: Аноним
  • Вопрос задан 1 год назад

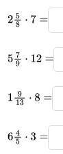
ПОМОГИТЕ СРОЧНО ДАЮ 15 БАЛОВ!!!!1

Приложения:

Ответы

Ответ дал: pon2099
2

Ответ:

147

1). 8

208

2). 3

176

3). 13

102

4). 5

Вас заинтересует