• Предмет: Алгебра
  • Автор: nurok0641
  • Вопрос задан 2 года назад

ПОМОГИТЕ СРОЧНО ДАМ 30 БАЛОВ

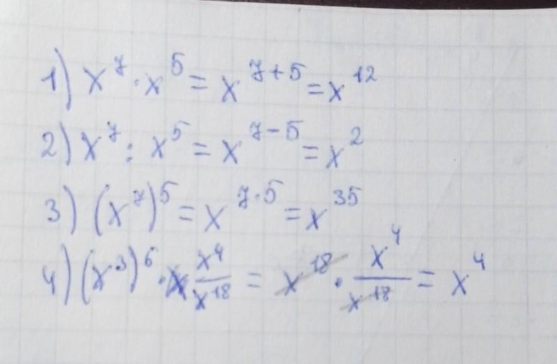
91)x⁷•x⁵
2)x⁷:x⁵
3)(x⁷)⁵
4) (x³)⁶•x⁴/x¹⁸

Ответы

Ответ дал: makmakesa
0

Ответ:

Объяснение:

1) х^12

2) х^2

3) х^35

4) х^4

Ответ дал: vladlemis228
0

Ответ:

Вот решение твоих заданий

Приложения:
Вас заинтересует